2019/11/11
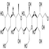
【CAS号】: 56180-94-0
【分子式】: C25H43NO18
【分子量】: 645.61
【存储条件】: 2-8℃
【结构类型】: Carbohydrates
【中文名】: 阿卡波糖
【英文名】: Acarbose
【中文副名】: 抑葡萄糖甙酶,阿卡波斯,拜糖平
【英文副名】: Acarviostatin I01,Ascarbose,Arcabose,BAY-g 5421,Glucobay,Prandase,Precose
【溶解性】: Methanol; Water; DMSO
滁州仕诺达生物科技有限公司 版权所有 皖ICP备19019595号-1 免责声明
